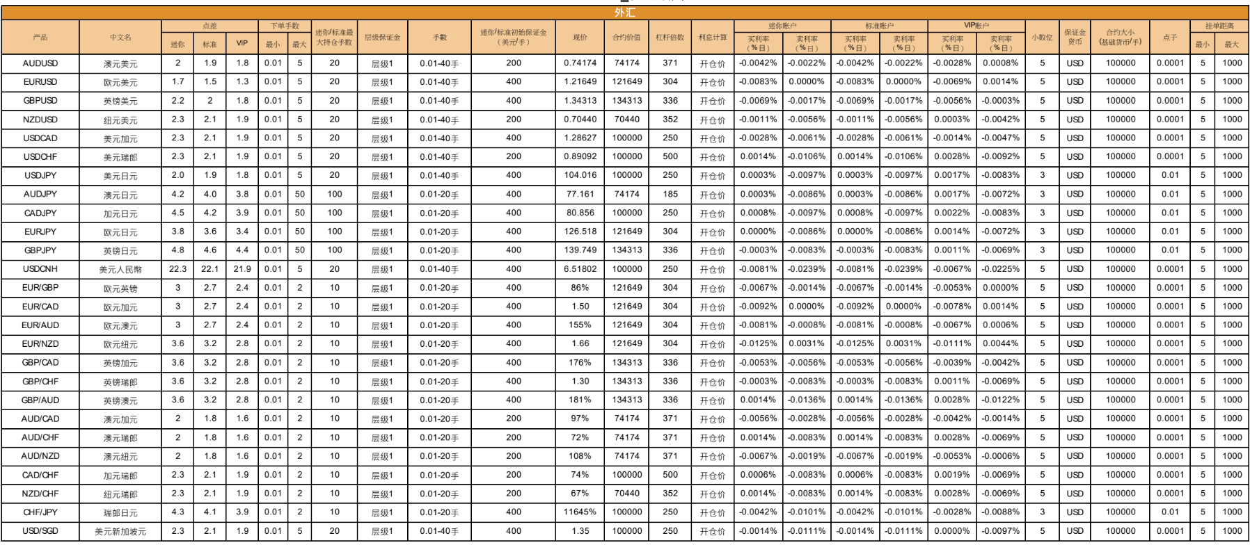
外汇

来源于:本站

发布日期:2025-12-31


温馨提示:本站所有文章来源于网络整理,目的在于知识了解,文章内容与本网站立场无关,不对您构成任何投资操作,风险 自担。本站不保证该信息(包括但不限于文字、数据、图表)全部或者部分内容的准确性、真实性、完整性、原创性。相关信 息并未经过本网站证实。

外汇

合约细则

查看更多

__BASE64_5byA5oi36aKG5Y+W__ __BASE64_JDExMDAw__ __BASE64_6LWg6YeRKw==__ __BASE64_NTA=__ __BASE64_5YWD57qi5YyF__